२०८२ माघ २० गते मंगलवार
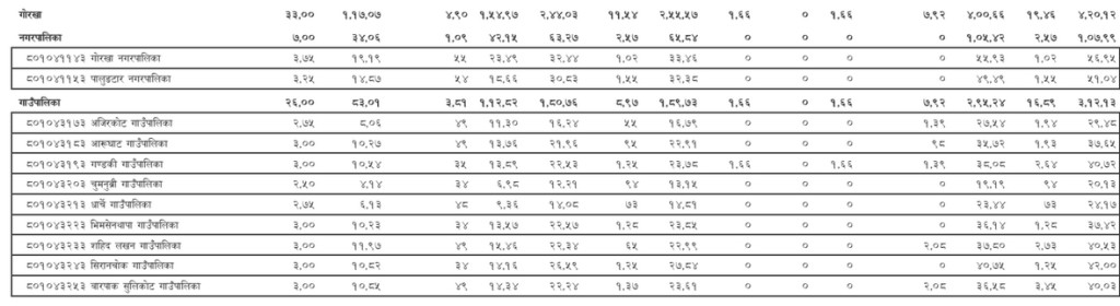
गोरखा। सरकारले आगामी आर्थिक वर्ष २०७७ ७८ का लागि गोरखाका स्थानीय तहहरुलाई करिब ४ अर्व २० करोड १२ लाख रुपैया बजेट विनियोजन गरेको छ । अन्तर सरकारी वितिय हस्तान्तरण कार्यक्रम अन्र्तगत जिल्ला भित्रका ११ वटा स्थानीय तहहरुका लागि संघिय सरकारले रकम बिनियोजन गरेको हो । आगामी आर्थिक बर्षका लागि केन्द्र सरकारले गोरखा जिल्लाका स्थानीय तहहरुलाई बिनियोजन गरेको रकम चाल आर्थिक बर्षको तलुनामा झण्डै १ अर्ब ५६ करोड ८ लाख रुपैया रकम रहेको छ ।
चालु आर्थिक बर्षमा केन्द्रबाट जिल्लामा समपुरक र विषेश बाहेक ५ अर्व ७६ करोड २० लाख बजेट प्राप्त भएको थियो । सरकारले हिजो घोषणा गरेको बजेट मार्फत जिल्ला भित्रका स्थानीय तहहरुलाई अन्तर सरकारी बित्तिय हस्तान्तरण कार्यक्रम अन्र्तगत रकम बिनियोजन गरेको हो । जस अन्र्तगत गोरखा नगरपालिकाका लागि सवैभन्दा धेरै ५६ करोड ९५ लाख र सबैभन्दा थोरै चुमनुव्री गाउँपालिकाका लागि चमनुव्रीले २० करोड १३ बजेट बिनियोजना भएको जनाइएको छ ।
त्यस्तै जिल्लाको पालुङ्टार नगरपालिकाले ५१ करोड ४ लाख, गण्डकीले ४० करोड ७२ लाख, आरूघाटले ३७ करोड ६५ लाख, अजिरकोटले २९ करोड ४८ लाख, भिमसेन थापाले ३७ करोड ४२ लाख, शहिद लखनले ४० करोड ५३ लाख, सिरानचोकले ४२ करोड, बारपाक सुलिकोटले ४० करोड ३ लाख र धार्चेले २४ करोड १७ लाख रुपैया अनुदान रकम पाउने भएका छन् । संघिय सरकारले उपलब्ध गराएको यो रकम समानिकरण अनुदान, सशर्त अनुदान, विशेष अनुदान र समपुरक अनुदान पुजिगत शिर्षकका रहेको अर्थमन्त्रालयले जनाएको छ ।

© 2026 All right reserved to khabarcnter.com | Site By : Sobij